The four officials up for recall, budget committee member Deborah Dorey Wilson, and selectmen Ernest "Butch" Lizotte, Jeff Adams and Charles Russell, do not have the Town of Lebanon and its residents' best interests in mind. They are very focused on setting up a system that will benefit themselves and their circle of friends.
1. We strongly suggest all town residents watch the Board of Selectmen meetings on the Town's YouTube channel. Even if you only watch the first 10 minutes, you will quickly get an understanding of the concerns we have. Please watch the meetings which have the most views! They are the most interesting and enlightening. It doesn't take long to see why we are concerned! They may be painful to watch but it is prudent to be informed of the problems with their leadership. https://www.youtube.com/c/TownofLebanon/videos
![]() |
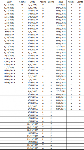
| Chart documents the poor attendance record for Selectman Jeff Adams in 2020 and 2021 |
2. Please familiarize yourself with the Eric Kelley situation through the a publicly available police report. (Maine State Police #20s046025) Selectmen Charles Russell and Ernest Lizotte have been investigated by State Police for illegal trespass and theft of property valued at over $96,000. This flagrant injustice has opened the eyes of many in town. Please note one of the redacted people in the Police Report is Budget Committee Member Deborah Wilson which she stated publicly during the Board of Selectmen meeting on July 1, 2021 at 14:00 minutes into the meeting. https://www.youtube.com/watch?v=QL4WPk_DUgk&t=2778s
3. The Selectmen chose to take applications and issue licenses for Adult Use Marijuana knowing the ordinance is illegal and unconstitutional, and knowing the Town will be sued! Why subject the town to this unnecessary massive legal expense and embarrassment? The town received a letter from Caseiro Burke dated March 4, 2021 calling out problematic portions of the Caregiver Ordinance. The letter strongly recommended a moratorium on the ordinance until the problems could be worked out, which the selectman seemingly ignored.
The chair of Cannabis Committee, James Duprie, received a legal opinion from the Maine Municipal Association outlining legal problems with the proposed ordinances, specifically the town 'grandfathering" existing businesses. https://www.youtube.com/watch?v=ct7a7KhVrXU&t=1756s at about 25:30 minutes. This letter was presented to the Board of Selectmen on October 3, 2019. https://www.youtube.com/watch?v=tSABOC2zpZA&t=843s The Board of Selectmen chose to ignore this advice as well, because one or more of them have direct financial ties to the marijuana industry.
Additionally, the Town's Attorneys, Drummond-Woodsum, also represents some of the marijuana businesses planning to sue the Town over the illegal ordinance - an obvious conflict of interest! Mel Warren from ECC Lebanon, LLC has been vocal about suing the town for example. You can see here https://www.maine.gov/dafs/omp/open-data/adult-use#licensee_search that she is a manager of ECC Lebanon and here https://icrs.informe.org/nei-sos-icrs/ICRS?CorpSumm=20211949DC that the register agent is an attorney from Drummond-Woodsum.
4. Selectman Jeff Adams has neglected his duty by being excessively absent, missing 41% of the full Board of Selectmen meetings since being elected. In fact, he left the Board of Selectmen Meeting early on the day he was sworn into office on June 13, 2019. https://www.youtube.com/watch?v=kzvNbfZAhK0&t=1226s He has only been present at 3 meetings since June 2021. He has been absent, tardy, not present for 50% of the Board of Selectmen meeting in 2021. To see his attendance record go to
5. Selectman Charles Russell is facing an investigation from the Maine Human Rights Commission for sexual harassment and fostering a hostile work environment.
Let's overlook all the petty social-media squabbling and work together to prepare our Town for a bright future!
- By the Committee to Recall,
Lebanon, Maine










